中国·yl88858永利(Macau)股份有限公司-Official Website
经济与管理学院
网站首页
今日:
学院介绍
现任领导
系情介绍
师资力量
学院动态
学院公告
yl7703永利集团
评估工作
教学大纲
工作动态
科研成就
党务公告
党校培训
组织活动
专题学习
学工团队
学生活动
团学建设
志愿服务
心理健康教育
班级活动
招生就业
研究生工作分工
研究生招生
研究生培养
案例库
工作动态
校企合作
创建概况
组织机构
相关文件
巾帼风采
本科招生
就业工作
招生简章
工作动态
教学计划
下载专区
教师制度
学生制度
教师下载
学生下载
栏目导航
研究生工作分工
研究生招生
研究生培养
案例库
点击排行
最新图文
研究生招生 | ...
yl88858永利集团2...
yl88858永利集团2...
刘川副院长赴...
学院刘川副院...
学院路晓军书...
学院副院长刘...
学院陈海东老...
您现在的位置:
yl88858永利集团经济与管理学院
>
研究生工作
>
研究生招生
> 正文
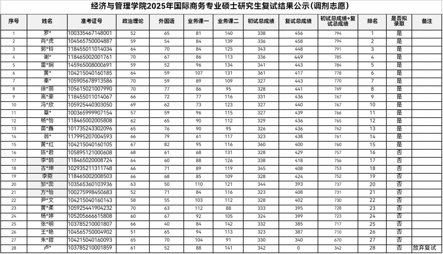
经济与管理学院2025年国际商务专业硕士研究生复试结果公示(调剂志愿)
作者:
来源:本站原创
发布时间:2025/04/14
点击数:次
字体:
大
小
字体:
大
小
【
发表评论
】【
加入收藏
】【
告诉好友
】【
打印此文
】【
关闭窗口
】
上一篇文章:
经管学院2026研招宣讲走进广东科技学院
下一篇文章:
经济与管理学院2025年数字经济专业硕士研究生复试结果公示(调剂志愿)
网友评论: